[关键词]中央银行独立性;通货膨胀;动态不一致性
[摘要]中央银行独立性及其与通货膨胀的关系问题是市场经济国家宏观经济理论和政策领域的重要课题,也一直是国内外学者研究和关注的焦点问题。本文在全面梳理大量国内外文献资料的基础上,从中央银行独立性的内涵入手,对中央银行独立性与通货膨胀的关系问题从理论研究和实证检验两个方面进行了认真的梳理,以期能够更好地把握国内外对该问题研究的基本脉络及最新的研究成果。
[中图分类号]17832.1
[文献标识码]A
[文章编号]1003-8353(2007)05-0070-04
从最早的中央银行——瑞典银行(1668)和英格兰银行(1694)算起,中央银行到现在已经有300多年的历史了。在1920年(布鲁塞尔)和1922年(日内瓦)召开的两次国际经济会议上,许多国家第一次集中地提出了中央银行独立性问题。之后,各国都在法律上给中央银行明确了相对独立的地位。但实际上,政府对中央银行的控制总体上是加强的趋势。特别是20世纪30年代的世界性经济金融危机之后,以凯恩斯主义为代表的国家干预主义兴起,政府越来越重视通过中央银行来调控宏观经济,政府对中央银行的控制明显加强。20世纪70年代,国际货币体系发生了巨大变化,经济运行呈现出通货膨胀与经济停滞并存的新形势,这使得人们对中央银行独立性及其与通货膨胀关系问题的关注程度日益加深,至今仍然是货币金融领域的一个热点问题。因此,对该问题进行系统地研究,厘清国内外对该问题研究的基本脉络和最新进展,具有重要意义。
一、中央银行独立性的内涵
关于中央银行的独立性必须明确地界定以下三个问题:①中央银行在何种职能领域具有独立性;②中央银行独立性的具体内容;③中央银行的法律地位。
1.体现中央银行独立性的职能领域。中央银行的独立性仅仅体现在与制定和实施货币政策直接有关的职能领域,即确定中央银行贴现率、制定与调整金融机构的法定存款准备金率以及进行公开市场操作等方面。
2.中央银行独立性的具体内容。Debelle和Fischer(1994)用目标独立性和工具独立性来描述中央银行的独立程度。目标独立性是指中央银行能够不受干预地确定货币政策目标;工具独立性是指中央银行可以自主选择政策工具以实现其政策目标。Capie和Goodhart(1995)认为,中央银行的独立性就是指中央银行在履行制定与实施货币政策职能时的自主性。Eijffinger(1997)认为中央银行独立性涉及三个方面,即:人事方面的独立性、赤字融资方面的独立性和政策方面的独立性。
3.中央银行独立性的法律地位。Friedman(1962)认为,“中央银行应该是与立法机关、行政部门、以及司法部门并列,成为政府的一个独立的分支机构,并且其行动服从司法部门的解释。”弗里德曼认为,中央银行的独立性即中央银行在运作过程中相对于政府的地位,它不仅指组织上的独立,最根本的是它应该拥有不受来自于其它方面的干预,自主地制定与实施货币政策的权限。
当然,中央银行的独立性是相对的。首先,综观各国中央银行独立性的历史,立法当局会随时取消中央银行已经获得的独立权限。其次,即使当今世界独立性最高的德意志联邦银行,也要向社会公众发布其关于经济形势判断的信息及货币政策决策的基本依据,还要向国会提交报告和接受国会的质询。最后,中央银行应在倾听政府部门意见的同时保持独立性,而不是武断地行使自己的独立权限。
二、中央银行独立性与通货膨胀率之间的关系
(一)理论研究
现代最早研究中央银行独立性的是Barro和Gordon(1983),他们的研究是建立在Kydland和Prescott(1977)提出的“动态不一致性”理论的基础上。
1.Kvdland和Prescott的“动态不一致性”理论
政策动态不一致性最初由Kydland和Prescott(1977)提出,是指一项政策在制定初期可能满足最优原则,然而在实施过程中即使没有出现新的情况,这项政策也许已经不再是最优的选择了,从而引发了政策的调整问题。Kydland和Prescot认为,如果经济政策制定者能够通过某种制度安排或者制定某种规则来强化政府政策的可信性,使公众充分相信当经济进入下一阶段后,政府在前一阶段的承诺仍是它的最佳选择,那么政府所期望出现的结果就能实现,在此情形下政府只需要考虑当期的问题就可以使经济达到最优均衡。
2.货币政策的动态不一致性及其解决方法
Barro、Gordon(1983)通过一个附加预期的菲利普斯曲线,以及一个包括通货膨胀和产出波动的社会损失函数论证了货币政策所具有的时间非一致性。
假定:(1)经济主体具有理性预期;(2)经济体系存在一个稳定的均衡产出增长率,即自然失业率不变;(3)政府当局与经济主体之间存在非合作博弈。
其分析过程如下:

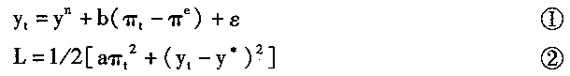
y
1表示t期的产出,y
n表示自然产出,y
*表示政府的目标产出,L表示社会损失,其中,y
*>y
n。π
t表示t期的通货膨胀率,π
e表示t期预期的通货膨胀率;a表示通货膨胀率在社会损失中的权重(相对于产出波动而言);ε为干扰项,其平均值为0;b表示经济主体预料之外的通货膨胀对产出的影响力度,其中a>0,b>0。
①表明,只有在实际通货膨胀率(π
1)高于预期的通货膨胀率(π
e)的情况下,实际的产出水平(y
1)才可能高于自然产出水平(y
n)。②式表明,通货膨胀和产出波动对社会而言都是损失,所以货币政策的目标就是使这两种社会损失最小化。
忽略干扰项ε,把①代入②,并对π
1求导,得如下方程式:
dL/dπ
t=aπ
1+b
2(π
t-π
e)+b(y
n-y
*)
令②式最小化的条件是dL/dπ
t=0。由此可见,在相机抉择的货币政策规范下,政府所选择的通货膨胀率为:
π
t=(a+b
2)
-1b[(y
*-y
n)+bπ
e] ③
考虑货币政策当局与经济主体之问的博弈过程。据①式可知,为使货币政策起到增加产出的作用,必须使π
t-
π
e>0。要实现这一条件,货币政策当局必须采取措施尽可能地降低经济主体的通货膨胀预期。假定货币政策当局在事先宣布以物价稳定为货币政策的目标,从而经济主体的初始预期通货膨胀率π
e=0。据③式可知,满足社会损失最小化的通货膨胀率为:
π
1=(a+b
2)
-1b(y
*-y
n)>0 ④
④式表明,一旦经济主体形成了零通货膨胀率的预期,货币政策当局放弃其已经做出的承诺,转而采取通货膨胀的政策就将成为其最佳的货币政策选择。这样,最优的货币政策选择在通货膨胀率预期形成前后就发生了变化,即存在着时间不一致性。然而,在经济主体具有合理预期的情况下,政府部门就不可能使预期通货膨胀率最终低于实际通货膨胀率,因为由于经济主体考虑到了政府的企图,他们在最初就自然调高了通货膨胀预期。即通过反复的波动,预期通货膨胀率和实际通货膨胀率都为π
d,并且
π
d=a
-1b(y
*-y
n) ⑤
根据②式,社会损失为:La=1/2(y
*-y
n)
2(1+a
-1b
2) ⑥
然而,在货币政策当局坚持固定的货币政策情况下(即π
t=π
e=0),同样根据②式,此时的社会损失为:L
p=1/2(y
*-y
n)
2 ⑦
显然,L
d>L
p,这就意味着相机抉择的货币政策将造成更大的社会损失。基于此,Barro和Gordon认为,相机抉择的货币政策是无效的,货币政策选择必须遵循固定规则。
如何才能既消除货币政策选择的放松货币倾向,又能保证货币政策的运用具有充分灵活性以应付突发的经济变动?Rogoff(1985)的“保守的中央银行家”理论与Walsh(1995)等人的最优合约理论表明,赋予中央银行管理货币政策的独立性将会解决这一问题。
3.Rogoff(1985)的“保守的中央银行家”理论
假定政府不直接操纵货币政策,而是通过代理人(即中央银行家)来履行货币政策管理的权限,那么只要该中央银行家认识到通货膨胀对于其自身的信誉将造成严重的影响,那么他就比政府官员更重视物价稳定的积极意义,即对于中央银行家来说,通货膨胀所造成的损失系数(a
b)大于对于政府来说的同一系数(a)。这样,中央银行家的个人损失函数就可以作如下表示:
L
b=1/2[a
bπ
R+(y
*-y
n)
2],其中a
b>a ⑧
在这种情况下,即使中央银行相机抉择地制定与实施货币政策,它也将更注重抑制通货膨胀,从而避免了货币政策的放松倾向,同时又可以使货币政策不失去灵活性。基于上述原因,Rogoff认为,赋予中央银行独立性至关重要。
4.Walsh(1995)等人的最优合约理论
Walsh(1995)等人提出的最优合约理论认为,可以制定一个合约,把货币政策的具体运作权限交由中央银行独立行使,政府则根据中央银行控制通货膨胀的成效进行相应的奖惩。Walsh认为政府与中央银行的最优契约可能降低货币当局的通胀偏好,同时又可以保持经济稳定,进一步的分析可以发现,签订契约的方法只影响中央银行政策工具的独立性,而不影响政策目标的独立性。
5.政治商业周期假说
还有一些西方学者通过对宏观经济运行的政治运作分析来研究中央银行独立性问题,其理论基础是两种政治商业周期假说。
第一种是从政府谋求连任的策略性政策选择分析经济运行周期。Nordhaus(1975)认为经济运行往往围绕大选日期而波动,在大选之前政府一般都采取有利于自己当选的经济措施,而把不利的经济后果拖延到大选之后。在一届政府当选之后,政府采取的措施往往是实行紧缩性的经济政策来降低实际通货膨胀率,并从而降低人们的通货膨胀预期,在此过程中也提高失业率;而在大选前夕,政府则会实行扩张性的经济政策,即以“适度”的通货膨胀为代价来降低失业率。而在重新当选之后,政府又进入到了新一轮的周期性政策调整。这样,宏观经济运行就会呈现出明显的政治商业周期。
第二种是从政党的意识形态分析经济运行周期。其理论基础是Beck(1982)、Alesina和Sachs(1988)等人所主张的政党意识形态与政策选择关系理论。他们认为,不同的政党有不同的目标或政治主张,政党轮流执政也就意味着政策的反复调整,所以,就必然要发生与大选日期同步的经济波动。
在政治商业周期假说的基础上,Alesina(1987,1988)认为,为了避免货币政策的运营成为政府谋取连任的伎俩,并缓和政府更迭而造成的经济波动,从而使经济运行有一个稳定的货币环境,由一个中立的、免受政治压力的中央银行来独立地管理货币政策就显得十分必要。
(二)实证研究
针对上世纪70年代初浮动汇率制度实行后,各国的通货膨胀率水平出现巨大差异的现象,西方学者尝试从中央银行独立性的角度对造成各国通货膨胀率差异的成因做出解释,把表示中央银行独立性的变量指数化,进行国际比较。
在计量中央银行独立性方面最先做出尝试的是Bade和Parkin(1988),他们首次整理了中央银行法律上独立性的指标(即BP指标),并由Alesina对其进行扩展,形成指标体-系。他们对12个欧洲国家的中央银行依据“政治独立性”标准从1—4排列,分成4个等级。测算期间为实行浮动汇率制度后的1972—1986年间,得出的结论是更大的中央银行独立性与更低的通胀率相关联。
AlbertoMesina(1988)采用Bade和Parkin(1988)的方法以16个OECD国家1973年—1986年的通货膨胀率及独立性为样本,对中央银行的独立性及其通货膨胀率进行了统计分析。结果表明,较低的通货膨胀率与中央银行不断增加的独立性存在着正相关关系。
Grilli,Maseiandaro和Tabellini(t991)提出了GMT指数,GMT指数由两类指数构成,分别衡量中央银行政治上和经济上的独立性。“政治独立性”即中央银行不受政府干扰选择政策目标的能力;“经济独立性”则被解释为中央银行自主使用货币政策工具的能力。他们对18个发达国家央行独立性与
这些国家的年均通货膨胀率进行了比较研究,发现中央银行的独立性与平均通货膨胀率之间呈现明显的负相关关系。
Cukierman,Webb和Neyapti(1992)提出了LVAW指数,他们从中央银行法的角度对16个表示中央银行独立性的不同法律变量从0到1之间取值,再把它们加总为8个变量,对这8个变量加权平均后得出LVAW指标。他们使用LVAW指标,对72个国家大约40年间货币的实际价值与LVAW之间的关系进行了回归分析,发现发达国家二者之间显著负相关,而发展中国家二者之间不相关。
Loungani和Sheets(1997)综合分析了以上几种指标并将中央银行独立性分为三项:目标独立性、经济独立性和政治独立性。目标独立性,是指一国中央银行是否将物价稳定作为主要的宏观经济目标;经济独立性,是指中央银行运用资金、投放或回笼基础货币的自主程度;政治独立性,包括中央银行官员的任免程序,政府参与中央银行董事会议的程度,以及中央银行董事的任期。他们研究了1992—1997年东欧及前苏联12个转型国家经济改革进程中通货膨胀对中央银行结构的影响,发现中央银行的独立程度与通货膨胀之间存在负相关关系。
(三)对中央银行独立性与通货膨胀率之间负相关关系的质疑
Adam Posen(1993)认为,经济政策反映了各个利益集团试图以各自认为适当的方式进行政策干预的斗争。他强调,并非中央银行的独立性使得货币政策创造低通货膨胀率,而是中央银行为满足特定利益群体的需要,才会去追求低通胀。
Barro(1997)测算了1960年一1990年间67个国家的中-央银行法中4个法律变量加权平均得出的独立性指数,得出通货膨胀率与中央银行独立性之间的相关系数仅为-0.02。因此,不能简单地用法律独立性变量来解释通货膨胀。
Hayo(1998)认为,各国对通货膨胀的偏好不尽相同,这影响到货币制度的构成和货币政策的使用。中央银行独立性的程度并不是导致各国通货膨胀差异的原因,各国现有的通胀文化才是通胀水平差异的决定因素。
Voigt(2000)认为,一国司法独立性和中央银行独立性之间存在着相关关系,法治文化和传统可以在很大程度上强化中央银行的独立地位。
三、关于我国中央银行独立性问题的研究
(一)国外学者关于我国中央银行独立性问题的研究
Cukierman(1992)对20世纪80年代世界上近70个国家的全部立法独立性指标进行了检验,最高的是瑞士,独立性分数是0.68;最低的是波兰,独立性分数是0.10;中国的独立性分数是0.29,排在第41位,位于中下游。
Cukierman,Webb和Neyapti(1999)就1950—1989年中央银行的法律独立性进行了分析,他们把它分成4个时期,就每一个时期的情况详细地进行了分析,得出结论:中国人民银行总的法律独立性是0.29,这个分数排名居中,并且其独立性是不断增强的。
(二)国内学者关于我国中央银行独立性及其与通货膨胀关系问题的研究
国内学者对中央银行独立性的关注,始于20世纪80年代末和90年代初,开始时大多研究都停留在对中央银行独立性的定性描述上,争论中央银行是否应保持独立性。1995年《中国人民银行法》的颁布,确立了中国人民银行应保持独立性的体制。此后,国内一度出现了对中央银行独立性的研究热潮。
谢平(1995)认为,由于中国人民银行在货币政策的决策上拥有很大的技术垄断性,所以它上报的决策方案往往是唯一可选方案,或选择余地很小,这种技术独立性在一定程度上弥补了决策独立性的不足。钱小安(2000)、刘锡良(2000)认为,随着改革开放政策的推行和商品经济的发展,中国人民银行作为中央银行的地位逐步得到了加强和提高,其独立性也日渐增强。
在实证研究方面,按照Loungri和Sheets(1997)的方法,欧阳矩华(1999)对我国人民银行的独立性进行了量化测算。他以公认独立性最强的德意志联邦银行为参照,其独立性指数设为1,则1995年以前中国人民银行的独立性指数值约为0.24,而1995年以后则为0.5。贺学会(1999)也按照同样的方法,对我国人民银行的独立性进行了量化测算。他以德意志联邦银行的独立性为参照,其独立性指数(包括目标独立性、工具独立性和政治独立性三方面)设为9,则中国人民银行的独立性指数为4.5。马光(2003)探讨了我国CBI与通货膨胀率和GDP增长率之间的关系,通过回归分析,发现:1995年人民银行规范之前,存在CBI过低与通货膨胀率过高的现象;而1995年之后,CBI提高对应着较低的通胀率;1984-2001年的经济增长并没有表现出与CBI之间的明显关系。相关数据显示,随着金融体制改革的深入,我国中央银行的独立性在逐步提高,货币政策的效力也在不断增强。
但由于历史的、现实的原因和条件的限制,《中国人民银行法》还存在诸多疏漏,我国的中央银行独立性仍然不是很强。为进一步加强我国中央银行的独立性,蔡志刚(2002)认为西方国家近年来提高中央银行独立地位的立法趋向和措施,为强化我国中央银行独立性提供了有益的借鉴和启示。肖崎(2003)认为应该健全决策机构,把央行货币政策委员会从目前的政策咨询机构提升为决策机构。艾洪德(2003)认为应引导公众形成合理的预期,一方面由政府公布长期的经济发展目标,并定期发布货币政策目标和实施计划;另一方面增加中央银行货币政策的透明度、公开性和可信度,以获得公众对中央银行货币政策的支持。
另外还有一些学者对此持有不同的观点。吴吴(2002)以日本央行为实例进行分析认为,如果一国中央银行缺乏应有的独立性,一般说来并不会促使政府背弃维护物价稳定的承诺,去有意制造通货膨胀,也不会引发政府为谋求连任而周期性地运用货币政策。部分学者以通货膨胀率的高低来分析是否应该加强中央银行独立性的观点是极其片面的。刘锡良(2003)认为,追求绝对的独立性不应成为中央银行的目标,而加强中央银行同有关各方的协调与合作是维持货币稳定与宏观经济内外均衡的前提。刘福寿(2004)认为中央银行独立性是一个内生变量,是由一国的法律制度、政治制度、经济制度和其他一些因素所决定的,对中央银行独立性与通货膨胀率之间因果关系的判断可能是错误的。从中国金融体制改革的过程出发,搜集有关中央银行制度选择的政治、经济、法律和文化环境信息,这才是判断央行独立性程度及其具体模式的基础。